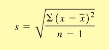
Measures of Dispersion