Chapter 6, Trees
The Tree ADT
- A nonlinear data structure
- As we have seen with sots, trees can be used to increase the speed
of algorithms.
- if we can put the data in them correctly
- ubiquitous structures
- File systems
- Data bases
- Web sites
- Relationship:
- List - before, after
- Tree - above, below
Tree - parent, child, sibling, ancestor, descendent
- Elements are stored heirarchically
- the first element in the tree is called the root.
- Every node except for the root has a parent
- Nodes can also have children
A tree T is a set of nodes storing elements in a parent child relationship where
- One node r, is the root of the tree, which has no parents.
- Each node v in T different from r has a unique parent node u.
- Our author, using this definition, requires that a tree have at least one node. (IE no empty trees)
- If u is the parent of v, then v is the child of u
- If u is the parent of v and w, then v and w are siblings.
- A node with no children is known as a leaf, or external node
- Non-leaf nodes are known as internal nodes
- If there is a path from node u to node v then u is an ancestor of v. Every node is an ascestor of its self.
- if A = {n in T such that n= ancestor(u)}. A-{u} are the proper ancestors
- If u is an ancestor of v then v is a descendent of u.
- A subtree rooted at v consists of all of the descents of v. (including v)
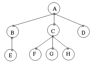
-
- A is the root
- B,C,D are the children of A
- C is the parent of G
- {G,C,A} are the ancestors of G
- {C,A} are the proper ancestors of G
- F,G and H are siblings
- {F, G, H} are the propper descendents of C
- D, E, F, G, and H are leaf nodes
- A, B and C are internal nodes
- A tree is ordered if there is a liner ordering defined among
the children of each node. (1st child, 2nd child, ...)
- A binary tree is an ordered tree where each node has at most two children.
- A proper binary tree is a binary tree where each internal node has two children.
- In general we label the children as left child and right child.
- Subtrees are labeled as the left subtree and the right subtree
- We have seen an example of a decision tree, which is a binary tree.
- Expressions can be respresented by a tree as well.
- If the node is external, it represents a value
- If the node is internal, it represents an operation.
- A tree (and the expression it represents) is evaluated by
- evaultate the left subtree
- evaluate the right subtree
- Perform the operation on the results.
- Compilers build a parse tree to represent expressions in
a language.
-
- Functions for ADT tree
- The tree holds nodes
- Operations
- element(), returns an element at the current position
- root(), returns the root of the tree ( a position)
- parent(v), returns the position of the parent of the position v, error if v is the root.
- children(v), returns an iterator that can traverse the children of node v
- isInternal(v), isExternal(v)
- isRoot(v)
- size() returns the size of a tree
- elements() - returns an iterator over the elements of a tree
these are the objects themselves.
- positions(), returns an iterator over the nodes of a tree.
- swapElements(w,v), swap the elements stored at w and v
(w and v are positions).
- replace element(v,e), replace the element at node v with element e
- Modification functions depend on the type of tree that we are
implementing
- add(e, n), adds element e as child n of the current node.
- deleteTree(v) makes subtree rooted at v empty
- Others as we encounter them.