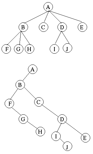
struct nodeT{ ElementT element nodeT * parent; nodeT * lchild; nodeT * rchild; }; class TreeT{ private: int size; nodeT * root; }