CSCI 360
Fall 2016,
Final Exam
- Please answer each question carefully and thoughtfully. You need
to demonstrate that you understand the material covered.
- Use as many pages as you wish, but make sure that you label each answer with the question number.
- Please write neatly, and print if possible. If I can't read your answer, it is incorrect.
- Please make sure that your name is on your test.
- Please make sure that you answer all parts of the questions.
- [10 points] Describe how OpenGL transforms vertex data into rendered images.
- [4 points] OpenGL is described as a state machine. What does this mean? Give examples of a state in this machine and how it is controlled.
- [8 points] Describe all computations required to determine if a polygon is facing the camera. This discussion should include the user supplied input REQUIRED to perform this computation.
- [10 points] Transformations from world to camera coordinate systems are accomplished via a transformation matrix.
- Describe the variable used to specify this matrix.
- Describe how this matrix is computed.
- [8 points] A view volume is a rectangular area in the world coordinate system. This view volume can be specified by two coordinates, the lower left front (Bx, By, Bz) and the upper right far (Tx, Ty, Tz). If an orthographic projection is used, the transformation from the view volume to NDC space can be accomplished completely with transformation matrices. Derive such a transformation matrix. Explain your derivation.
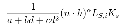
- In the lighting model developed in class, specular reflections are computed using :
- [7 points] Explain each variable in this computation. Describe
- The type of the variable.
- What the variable represents.
- Where the variable is assigned or computed.
- [3 points] Explain how the given expression models light.