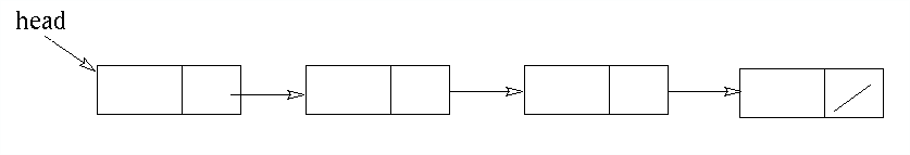
struct NodeT { int data; NodeT * next; }
... #define LIST_T struct NodeT; class ListT{ ...
private: NodeT * Find(int key) const; size_t size; NodeT * head; NodeT * current; };