A Loan Example
    -  An installment loan is where you borrow
    
         -  A specific amount of money (P, the principal)
	 
 -  For a fixed number of payments per year (n)
	 
 -  For a fixed number of years (t)
	 
 -  At a fixed interest rate (r)
    
 
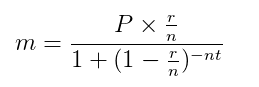
     -  If you take  MATH104, I care that you can use the formula
    
    
 -  But in CS104 I would really rather have you forget the formula.
    
 -  Typical installment loans
    
        -  A car loan
	
 -  A boat loan
	
 -  A mortgage or house loan.
	
 -  Student loans
    
 
     -  Today I want to do two things with respect to  loans
    
        -  Compute the monthly payment for a loan.
	
	    -  Compute a required down payment.
	    
 -  Compute an amount financed.
	
 
	 -  Build an amortization table, or show how the loan will be paid off.
    
 
     -  In excel we will learn
    
         -  The payment formula
	 
 -  Working with percents. 
	 
 -  Absolute vs relative formats
	 
 -  Basic fill.
	 
 -  Basics of working with tables.
    
 
     -  We will work with payments again, and you WILL see these on the tests.
    
 -  This is a standard setup in my opinion.
    
 -  I would like to buy a sailboat
    
        -  Price : $20,000
	
 -  Required down payment: 15%
	
 -  Interest rate: 6.75%
	
 -  Time: 10 years
	
 -  Payments per year: 12
    
 
     -  Enter these terms:
    
    
 -  In cell B3, compute the down payment (B1*B2), what is this? where does it come from? where does it go?
    
 -  In cell B5, compute the amount financed (B1-B3), what is this? where does it come from and where does it go?
    
 -  In cell B10,  compute the monthly payment
    
        -  We will use the pmt function.
	
 -  This function requires three parameters.
	
            -  
	     -  A parameter is a value the function needs to perform a computation.
	    
 -  Think variables (r,n,P,t)
	
 
	 -  The payment function takes
	
	    -  The periodic interest rate.  r/n
	    
 -  The number of payments (n*t)
	    
 -  The amount financed, as a negative.
            
 -  
	 
	 -  Just learn this, memorize it or whatever.  I want you to know it.
    
 
     -  Do this with the insert function button 
    
    
 -  In cell B12, compute the total payments (Monthly payment * payments per year * years)
    
 -  In cell B13, compute the total interest paid (Total Payments - Amount Financed)
    
 -  In cell B14, compute the total paid for the boat (Total Payments + Down Payments)
    
 -  
     -  
     -  Payoff Table
    
 -